Petróleo venezolano cae a 21,63 dólares el barril
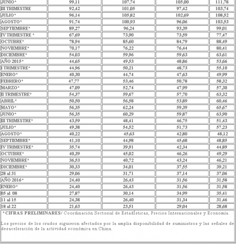
La cesta petrolera venezolana cayó a 21,63 dólares al perder 2,75 dólares por barril en la semana que finalizó el 22 de enero.
"Los precios de los crudos siguieron afectados por la amplia disponibilidad de suministros y las señales de desaceleración de la actividad económica en China”, explicó el ministerio.
Según el informe, en lo que va de año el precio promedia 24,40 dólares por barril menor a los 44,65 dólares de 2015, es decir unos 20 dólares menos.
En el 2014, los precios promediaron 88,42 dólares por barril.

Tomando el pulso
Lo + Leído
La guayanesa disputó su quinta final de campeonato mundial de manera consecutiva
El barco de vela de Johnnie Wlaker emprende su travesía por América Latina y El Caribe para homenajear a venezolanos que hayan logrado cambiar el rumbo de sus vidas gracias a un espíritu pionero.
Las causas por las cuales se presenta este problema van desde la acumulación de más genes hereditarios, la contaminación, los efectos de los rayos UV, hasta la mala alimentación






